抗水解劑

聚酯類高分子產品容易在酸性且富水條件下水解,水解後生成酸性物質,進一步作為催化劑加速水解反應的發生,造成聚酯類高分子產品的龜裂或粉屑。聚酯類高分子在水解過程中會生成羧酸,而抗水解劑藉由與羧酸或是與水優先進行化學反應,形成穩定化合物,進一步阻止高分子自催化水解反應的降解發生。抗水解劑特別適合應用在高溫潮濕及酸性環境等苛刻使用條件下的高分子抗水解、耐水解穩定性能的提升,大大增加高分子產品的可靠性,同時也其使用壽命,可以被視為一種「綠色添加劑」。
抗水解劑適合添加在下述易水解的塑膠產品中,提升產品品質:
1. 聚酯類高分子產品如PET / PBT / TPEE
2. 聚氨酯製品如PU / MDI預聚體 / TPU / 黏合劑
3. 聚胺尼龍製品
4. EVA
| CAS No | 2162-74-5 |
| Appearance | White to off-white flake |
| Melting Point | 49-53 °C |
| Loss on Drying | 0.5% max. |
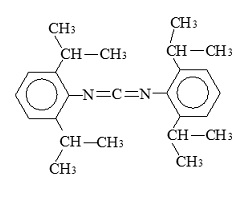
Eustab® HS-700F 是位阻芳香族碳二亞胺類抗水解穩定劑,其與水解產物羧酸或水發生反應,阻止自催化水解的降解發生,提高許多聚合物的使用壽命,特別是在高溫潮濕及酸鹼環境等苛刻使用條件下的抗水解、耐水解穩定性能的提升。
除了作為抗水解穩定劑外,Eustab® HS-700F還可作為一種加工助劑,其與擠出加工過程中產生的酸類物質反應,防止聚合物在加工過程中的分子量降低,從而削弱了加工過程對聚合物的破壞。主要用於聚酯類產品的穩定(如PET、PBT和TPEE)、聚氨酯製品 (如PU體系、MDI預聚體、TPU、粘合劑),PLA、聚酰胺尼龍製品和EVA等易水解塑料的水解穩定劑。
建議添加量 : PET,PA : 0.5~1.5%;PU, TPU: 0.7~1.5%;EVA :3~5%。實際添加量須根據需要的達到的水解穩定性效果來調試。